7月19日,自然资源部中国地质调查局岩溶地质研究所在云南蒙自断陷盆地石漠化区土壤碳、氮和磷化学计量研究方面获得新进展。
断陷盆地区位于珠江、长江中上游,隶属国家“两屏三带”生态安全屏障区,是石漠化集中连片区和综合治理重要类型区。受地质-气候条件制约,断陷盆地形成盆地内土层覆盖较厚而浅丘、斜坡和高原面山区岩石裸露、石漠化严重的生态环境特征。通过测定土壤碳、氮和磷元素的化学计量比,可以用来指示区域植被生长的限制因子,有助于为断陷盆地石漠化区生态恢复重建提供科学依据。
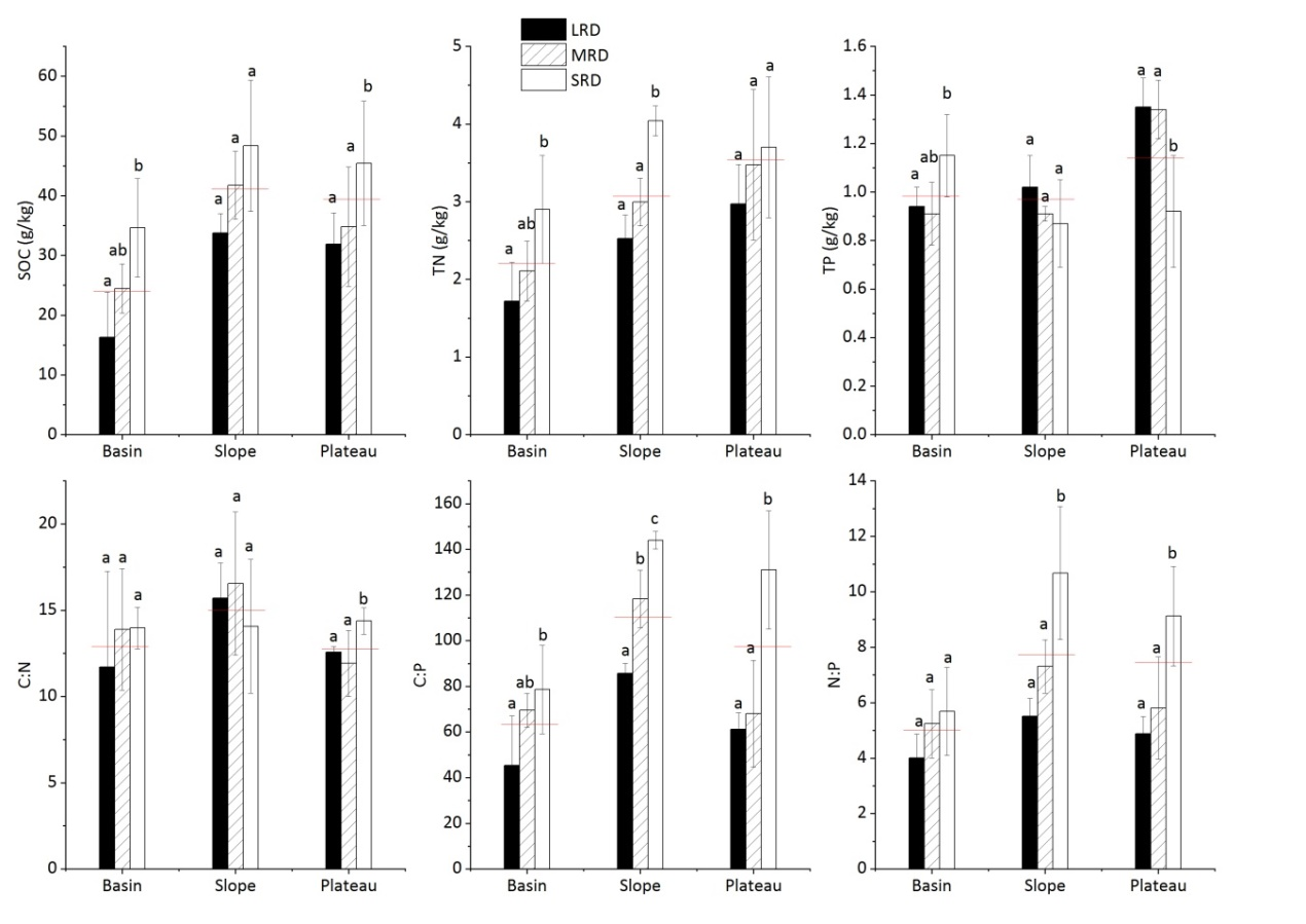
研究人员在云南蒙自断陷盆地区沿盆地、斜坡和高原面采集不同石漠化发生程度的土壤,研究地形和石漠化程度对土壤碳、氮和磷元素化学计量的影响。结果发现,同一地形条件下土壤碳氮比不受石漠化程度影响,处于较为稳定水平,而碳磷比和氮磷比则随石漠化程度加剧而增大,这与土壤有机碳和全氮含量随石漠化程度加剧而提高而磷相对稳定的结果一致。与全国土壤平均水平相比,断陷盆地三种地形部位碳磷比和氮磷比较小,而碳有效磷比和氮有效磷比高于全国水平3-4倍,表明断陷盆地土壤有效态含量较低,是影响植被生长的重要限制因子。此外,研究人员发现钙和pH是影响土壤碳、氮和磷化学计量的重要因子,钙影响远高于pH。断陷盆地石漠化生态恢复时,不仅要考虑海拔和垂直气候因素,还要考虑物种对钙的耐受性,因地制宜选择物种。
相关研究成果近日以The Characteristics of Soil C, N, and P StoichiometricRatios as Affected by Geological Background in aKarst Graben Area, Southwest China为题,发表于forests (https://doi.org/10.3390/f10070601)期刊。本研究得到国家重点研发计划(2016YFC0502501)、广西自然科学基金(2017GXNSFAA198153)和广西科学研究与技术开发项目(桂科能1598023-1)资助。

图1 断陷盆地不同地貌部位不同石漠化水平土壤C、N和P化学计量特征

图2断陷盆地土壤地球化学背景与C、N和P化学计量偏相关分析